
Study on the Mechanism of Battery Binders on Electrode Tortuosity and Performance Regulation
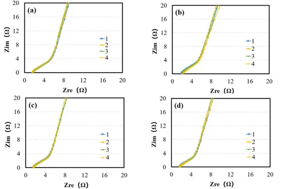
1. Background As one of the most important electrochemical energy storage devices today, the performance enhancement of lithium-ion batteries has always attracted significant atte…










